연구소
연구 배경
- 휴먼 모니터는 적은 비용으로 높은 효과를 기대할 수 있다는 점에서 많은 기관 및 기업에서 휴먼 모니터를 채용하여 업무를 수행하고 있습니다.
- 휴먼 모니터는 학습, 경력, 사회적 경험, 사상, 환경 등에 따라 개인적인 차이가 날 수 있어 동일한 문제를 놓고 분류와 판단, 해석이 다를 수 있습니다. 이러한 점은 데이터의 정확성(Accuracy), 일치성(Consistency) 측면에 영향을 미치며 신뢰도(Reliability)의 문제를 야기할 수 있습니다.
- 굿모니터링 주식회사는 휴먼 모니터 간의 편차(Deviation)를 최소화하고, 데이터의 신뢰도를 확보하기 위해 삼각측정(Triangulation) 기반한 테스트(Test)를 통해 정확성, 일치성을 측정하고 있습니다.
- 측정 결과를 분석하여 채용을 비롯한 교육, 매뉴얼 개발 등에 적용하여 휴먼 모니터 역량(Competency)과 데이터 신뢰도를 더욱 향상시킬 수 있도록 노력하고 있습니다.
삼각측정법(Triangulation)

- 삼각측정법은 질적 연구(Qualitative research)에서 데이터의 타당성과 신뢰성을 높이기 위해 사용되는 분석 기법 중 하나로 다양한 접근 방식을 사용하여 데이터를 교차 확인하고, 결과를 검증합니다.
- 삼각측정법을 활용하면 휴먼 모니터들이 동일한 대상에 대해 동일한 평가를 내리는지 확인할 수 있습니다.
측정 도구
-
모니터 간 신뢰도 측정 테스트
테스트 종류 : 사전(채용 시), 중간, 최종(휴먼 모니터의 역량 확인)
테스트 구성 : 기본 문제, 심화 문제, 응용 문제 * 자세한 내용은 문의
-
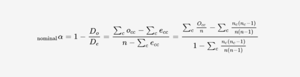
크립펜도르프 알파 신뢰도 지수(Krippendoff`s Alpha Reliability Estimate)
크립펜도르프라는 심리학자가 1950년대에 개발한 신뢰도 측정 방법입니다. 이 방법은 검사 항목들 간의 상관관계를 분석하여 신뢰도를 측정하는 방법으로, 검사 결과의 일관성을 평가하는데 사용됩니다.
평가하고자 하는 부분에 대한 일치성을 평가하는 데 유용한 방법
평가 항목이 서로 얼마나 밀접하게 관련 있는지 반영하여 보다 정확하게 평가 가능
※ 출처 : 구글(Google)
-
파이썬(Python)
1980년대 말, 네덜란드의 CWI(Centrum Wiskunde & Informatica)의 귀도 반 로섬이 개발한 프로그래밍 언어입니다.
데이터 분석, 인공지능, 웹 개발 등 다양한 분야에서 사용되며 많은 라이브러리와 프레임워크를 지원하여 개발자들이 빠르고 효율적인 프로그래밍을 할 수 있도록 도와줍니다.
※ 출처 : 구글(Google)

테스트 프로세스
신뢰도 측정을 위한 테스트는 4단계로 진행합니다.-
- 테스트 계획 수립
- 신뢰도 측정을 위한 대상 선정 및 방법 등 계획 수립
-
- 테스트 실시
- 휴먼 모니터 대상으로 테스트 진행
-
- 테스트 결과 분석
- 판단 불일치 구간 확인 및 원인 분석, 전문가 자문을 통한 개선안 도출
-
- 테스트 결과 반영
- 개선안 내용을 기반으로 휴먼 모니터 채용·교육· 매뉴얼 제작을 통해 신뢰도 향상